Ответы
Ответ дал:
0
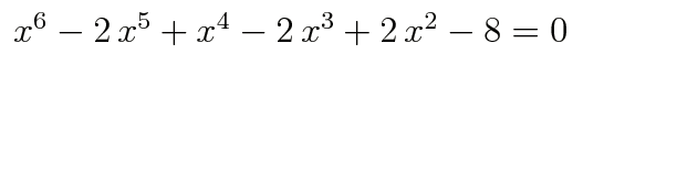
х⁶-2х⁵+х⁴-2х³+2х²-8=0
воспользуемся схемой Горнера:
х= 2 один из корней уравнения
к/т 1 -2 1 -2 2 0 -8
корень 2 1 0 1 0 2 4 0
(х-2)(х⁵+х³+2х+4)=0
х= -1 корень
схема Горнера
к/т 1 0 1 0 2 4
корень -1 1 -1 2 -2 4 0
(х-2)(х+1)(х⁴-х³+2х²-2х+4)=0
у нас симметричное уравнение разделим его на х²
х²-х+2-2/х+4/х²=0
(х²+4/х²)-(х+2/х)+2=0
х+2/х= т
т²=х²+4+4/х²
т²-4-т+2=0
т²-т-2=0
т= 2
т= -1
х²+х+2=0
х= 1
х=-2
х²-2х+2=0
корней нет
ОТвет -2,-1,1,2
воспользуемся схемой Горнера:
х= 2 один из корней уравнения
к/т 1 -2 1 -2 2 0 -8
корень 2 1 0 1 0 2 4 0
(х-2)(х⁵+х³+2х+4)=0
х= -1 корень
схема Горнера
к/т 1 0 1 0 2 4
корень -1 1 -1 2 -2 4 0
(х-2)(х+1)(х⁴-х³+2х²-2х+4)=0
у нас симметричное уравнение разделим его на х²
х²-х+2-2/х+4/х²=0
(х²+4/х²)-(х+2/х)+2=0
х+2/х= т
т²=х²+4+4/х²
т²-4-т+2=0
т²-т-2=0
т= 2
т= -1
х²+х+2=0
х= 1
х=-2
х²-2х+2=0
корней нет
ОТвет -2,-1,1,2
Ответ дал:
0
х²+х+2=0; D<0. Уравнение не имеет действительных корней. По ошибке плюс с минусом перепутан
Ответ дал:
0
в вычислении дискриминанта данного уравнения
Ответ дал:
0
да... надо исправить.. оба уравнение не имеют корней
Вас заинтересует
3 года назад
8 лет назад
8 лет назад
10 лет назад
11 лет назад
11 лет назад