Помогите решить !Буду пересдавать КДР,не знаю как это решить!!
Можете описать подробно,как вы решали,а не просто ответ??
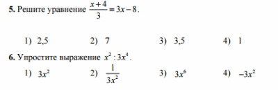
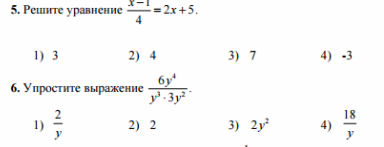
Приложения:



Ответы
Ответ дал:
0
!!!!!!!!!!!!!!!!!!!!!!!!!!!!!!!!!!!!!!!
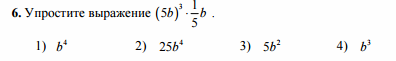
Приложения:

Ответ дал:
0
ОГРОМНОЕ спасибо!!!!
Ответ дал:
0
да не за что, просто подробнее как написать уж не знаю. Если что непонятно, спроси
Ответ дал:
0
Нет,я уже все поняла.Еще раз спасибо:)
Ответ дал:
0
Ну и хорошо! Удачи!
Вас заинтересует
2 года назад
2 года назад
7 лет назад
7 лет назад
10 лет назад
10 лет назад
10 лет назад