• Предмет: Химия
  • Автор: lera591
  • Вопрос задан 10 лет назад

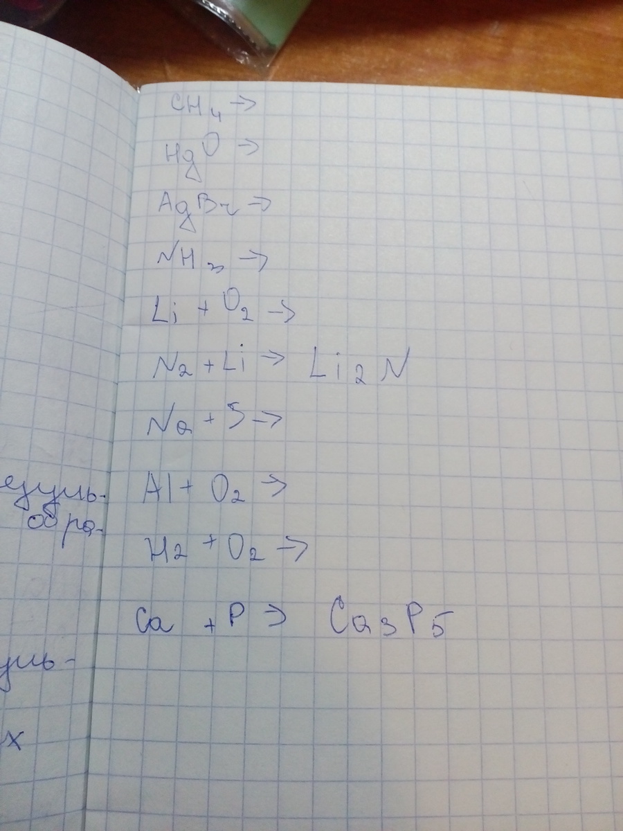
помогите решить уравнения химических реакций

Приложения:

Ответы

Ответ дал: svetka1574
0


CH4 -> C + 2H2

2HgO -> 2Hg + O2

2AgBr -> 2Ag + Br2

2NH3 -> = N2 + 3H2

4Li + O2 -> 2Li2O

N2 + 6Li -> 2Li3N

2Na + S -> Na2S

4Al + 3O2 -> 2Al2O3

2H2 +O2 = 2H2O

3Ca + 2P -> Ca3P2

Вас заинтересует