lim [x стремится к 1] ((2-x)^2-1)/x-1=0/0
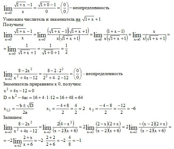
lim [x стремится к 0] (sqrt(1+x) - 1)) / x =
lim [x стремится к 2] (8-2x^2)/x^2+4x-12 =
Ответы
Ответ дал:
0
Решения пределов, проверьте пожалуйста, правильно переписал ваши задания.
Приложения:


Ответ дал:
0
не заметил, минут через 10 будет
Ответ дал:
0
http://znanija.com/task/14257698 а может заодно и с этим поможете?))) извините, если наглею) ^_^
Ответ дал:
0
добавил решение первого предела, посмотрите
Ответ дал:
0
огромное вам, безграничное спасибо!!!!
Ответ дал:
0
смотрю на задания по ссылке, скоро скину решения
Вас заинтересует
2 года назад
2 года назад
7 лет назад
10 лет назад
10 лет назад
10 лет назад