• Предмет: Алгебра
  • Автор: shkolnica99
  • Вопрос задан 10 лет назад

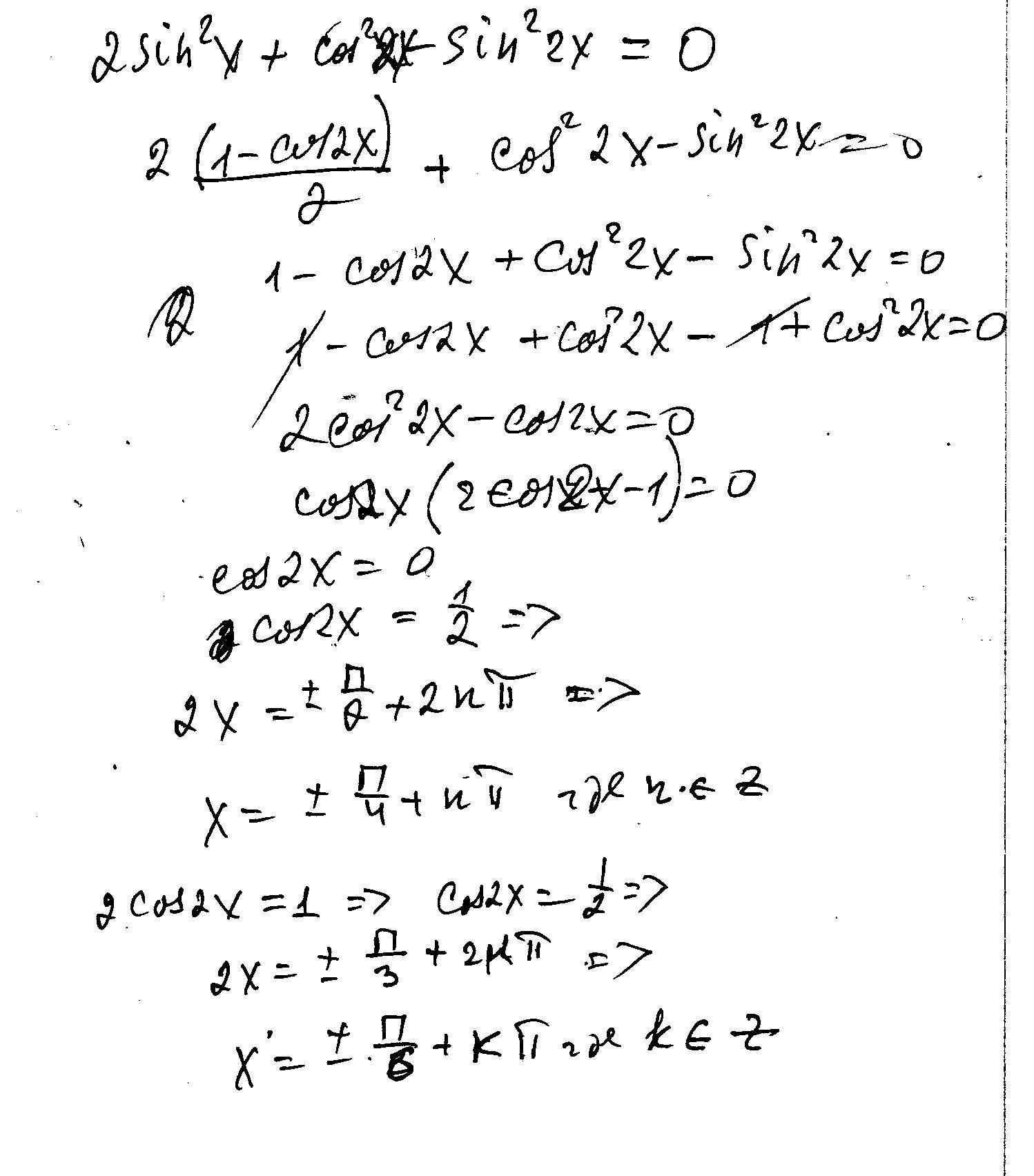
2sin^2x+cos4x=0 можно подробное решение с объяснением , спасибо

Ответы

Ответ дал: ужнеужели
0
решение в скане.....................
Приложения:
Вас заинтересует