помогите:)
1)сократить дробь
2)представьте в виде дроби
3)найдите значение выражения
4)упростить выражение
Приложения:

Ответы
Ответ дал:
0
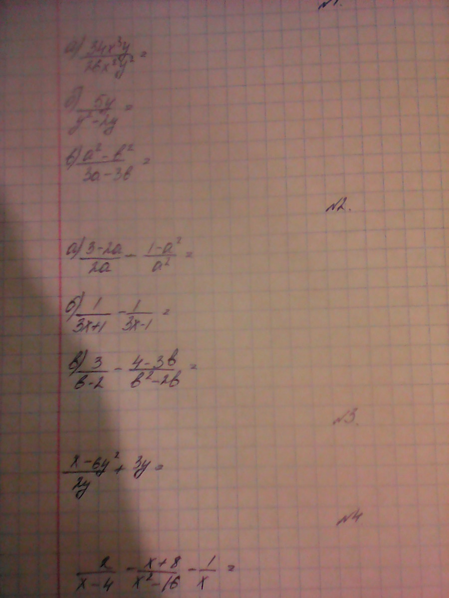
1.
а) = 17*2x³y = 17x
13*2x²y² 13y
б) = 5y = 5
y(y-2) y-2
в) =(a-b)(a+b) = a+b
3(a-b) 3
2.
a) = a(3-2a) -2(1-a²) = 3a-2a²-2+2a² = 3a-2
2a² 2a² 2a²
б) = 3x-1-(3x+1) = 3x-1-3x-1 = -2 = 2
(3x+1)(3x-1) 9x²-1 9x²-1 1-9x²
в) = 3 - 4-3b = 3b-4+3b = 6b-4
b-2 b(b-2) b(b-2) b²-2b
3.
= x-6y²+6y² = x
2y 2y
4.
= 2 - x+8 - 1 = 2x(x+4)-x(x+8)-(x-4)(x+4) =
x-4 (x-4)(x+4) x x(x-4)(x+4)
= 2x²+8x-x²-8x-x²+16 = 16 = 16
x(x-4)(x+4) x(x²-16) x³ -16x
а) = 17*2x³y = 17x
13*2x²y² 13y
б) = 5y = 5
y(y-2) y-2
в) =(a-b)(a+b) = a+b
3(a-b) 3
2.
a) = a(3-2a) -2(1-a²) = 3a-2a²-2+2a² = 3a-2
2a² 2a² 2a²
б) = 3x-1-(3x+1) = 3x-1-3x-1 = -2 = 2
(3x+1)(3x-1) 9x²-1 9x²-1 1-9x²
в) = 3 - 4-3b = 3b-4+3b = 6b-4
b-2 b(b-2) b(b-2) b²-2b
3.
= x-6y²+6y² = x
2y 2y
4.
= 2 - x+8 - 1 = 2x(x+4)-x(x+8)-(x-4)(x+4) =
x-4 (x-4)(x+4) x x(x-4)(x+4)
= 2x²+8x-x²-8x-x²+16 = 16 = 16
x(x-4)(x+4) x(x²-16) x³ -16x
Вас заинтересует
2 года назад
7 лет назад
7 лет назад
10 лет назад
10 лет назад
10 лет назад