• Предмет: Математика
  • Автор: skorpion1123
  • Вопрос задан 10 лет назад

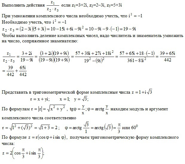
представить в триганометрической форме комплексные числа z=1+i√3

Ответы

Ответ дал: Аноним
0
Решение в тригонометрической форме комплексные числа
Приложения:
Вас заинтересует