Ответы
Ответ дал:
0
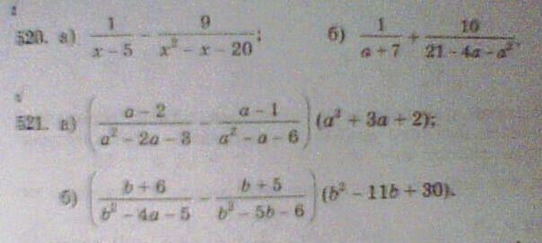
хквадрат-х-20=0
Д= 1+80=81
х1=и 1+9/2=5 х2= 1-9/2=-4
1/x-5 - 9/(x-5)(x+4) и приведи к общему знаменателю
Ответ дал:
0
вторые примеры аналогично... что-то же и самостоятельно нужно делать...
Приложения:

Вас заинтересует
2 года назад
2 года назад
8 лет назад
8 лет назад
10 лет назад
10 лет назад