• Предмет: Алгебра
  • Автор: birdy13
  • Вопрос задан 11 лет назад

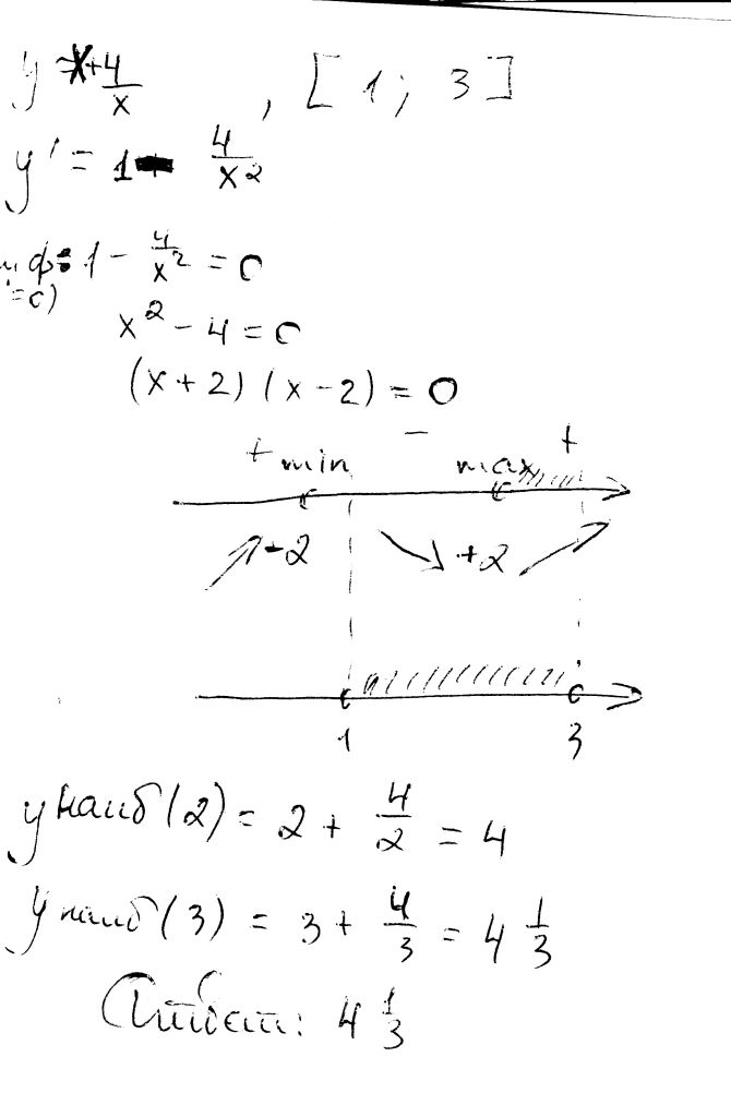
Найдите наибольшее и наименьшее значение функции y=x+4/x на отрезке [1; 3]. Решение полностью.

Ответы

Ответ дал: johnnyrocket
0

во второй строчке,сильно штрихованный-это минус .

а дальше,где не видно(3-я строчка),там написано "нули функции(y'=0)"

Приложения:
Вас заинтересует