• Предмет: Химия
  • Автор: Katerina077
  • Вопрос задан 11 лет назад

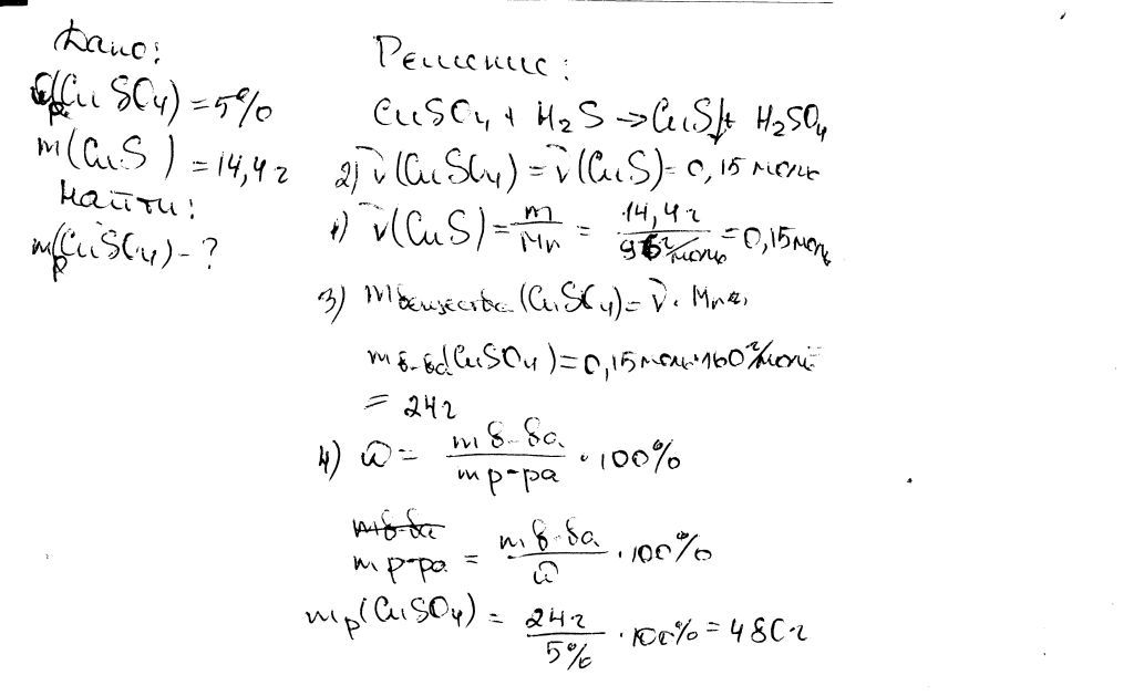
через 5% раствор сульфата меди 2 пропускали сероводород до прекращения выделения чёрного осадка.масса осадка составила 14,4 грамма.чему равна масса раствора сульфата меди 2?

Ответы

Ответ дал: johnnyrocket
0

вот,вроде всё по максимуму понятно написала^^

Приложения:
Вас заинтересует