• Предмет: Алгебра
  • Автор: KUPlik
  • Вопрос задан 11 лет назад

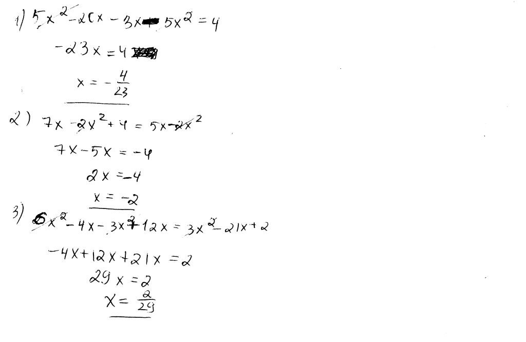
4 примера очень нужно картинака внизу

Приложения:

Ответы

Ответ дал: allysyaaa
0
5х^2-20х-3х-5х^2=4 5х^2 сокращается -20х-3х=4 -23х=4 Х=-4/23
Ответ дал: johnnyrocket
0

я не стала писать первоначальный пример.

а x^2 везде сокращаются(просто плохо отсканировалось)

Приложения:
Вас заинтересует