• Предмет: Алгебра
  • Автор: varennik999
  • Вопрос задан 10 лет назад

Алгебра 11 класс
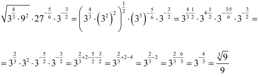
Вычислить

Приложения:

Ответы

Ответ дал: Аноним
0
Решение смотрите на фото )))))
Приложения:
Вас заинтересует