Ребят, как решать такое? Не просто же тупо подставить?
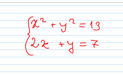
В общем: Является ли пара чисел (2; 3) решением системы уравнений: (фото приклейтед)
Приложения:

Ответы
Ответ дал:
0
выразить у во втором уравнении
х^2+у^2=13
у=7-2х
х^2+(7-2х)^2=13
у=7-2х
х^2+49-28х+4х^2=13
у=7-2х
5х^2-28х+49-13=0
у=7-2х
5х^2-28х+36=0
у=7-2х
теперь отдельно забираем первое уравнение и решаем его
5х^2-28х+36=0
D=b^2-4ac=(-28)^2-4*36*5=784-720=64, D>0, 2корня
х1=(-b+√D) /2=(28+8)/2=18
x2=(-b-√D) /2=(28-8)/2=10
y1=7-2*18=7-36=-29
y2=7-2*10=7-20=-13
х^2+у^2=13
у=7-2х
х^2+(7-2х)^2=13
у=7-2х
х^2+49-28х+4х^2=13
у=7-2х
5х^2-28х+49-13=0
у=7-2х
5х^2-28х+36=0
у=7-2х
теперь отдельно забираем первое уравнение и решаем его
5х^2-28х+36=0
D=b^2-4ac=(-28)^2-4*36*5=784-720=64, D>0, 2корня
х1=(-b+√D) /2=(28+8)/2=18
x2=(-b-√D) /2=(28-8)/2=10
y1=7-2*18=7-36=-29
y2=7-2*10=7-20=-13
Вас заинтересует
2 года назад
2 года назад
7 лет назад
7 лет назад
10 лет назад
10 лет назад
10 лет назад
10 лет назад