• Предмет: Геометрия
  • Автор: azer3827
  • Вопрос задан 11 лет назад

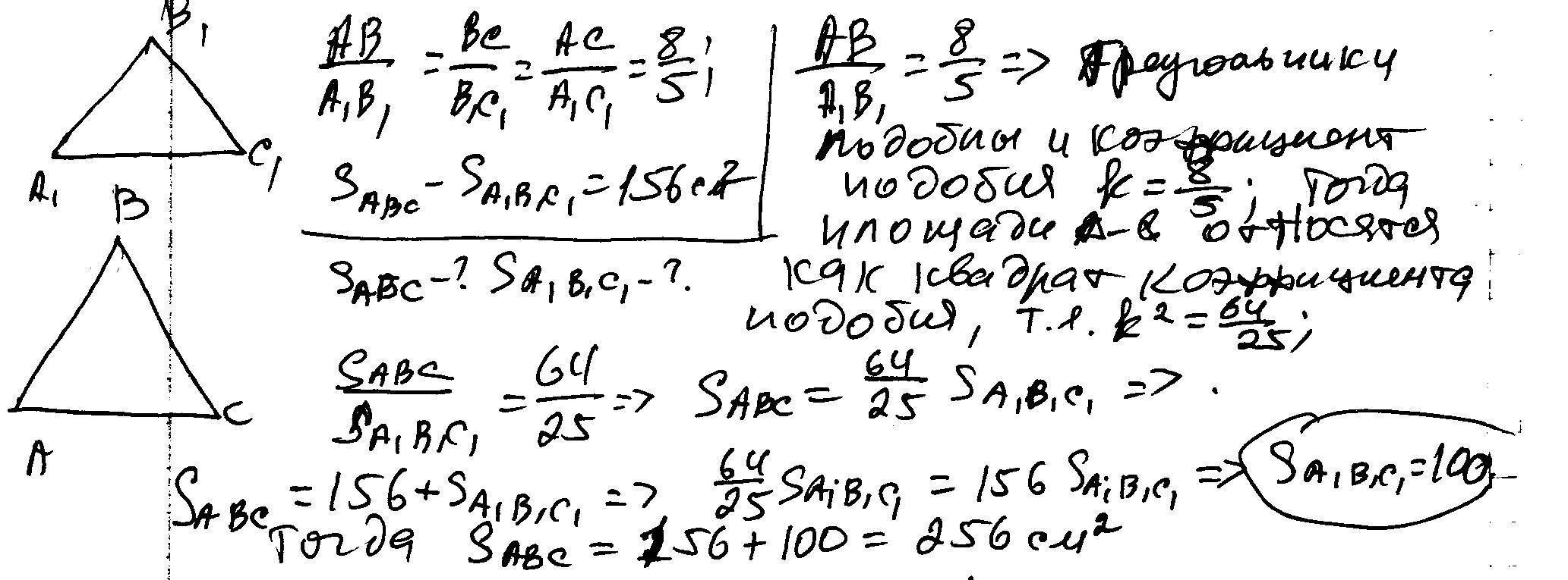
Сходственные стороны подобных треугольников относятся как 8:5, а разность площадей треугольников равна 156 см 2 . Найдите площади этих треугольников.

Ответы

Ответ дал: ужнеужели
0
решение в скане................
Приложения:
Вас заинтересует