• Предмет: Алгебра
  • Автор: star1997
  • Вопрос задан 11 лет назад

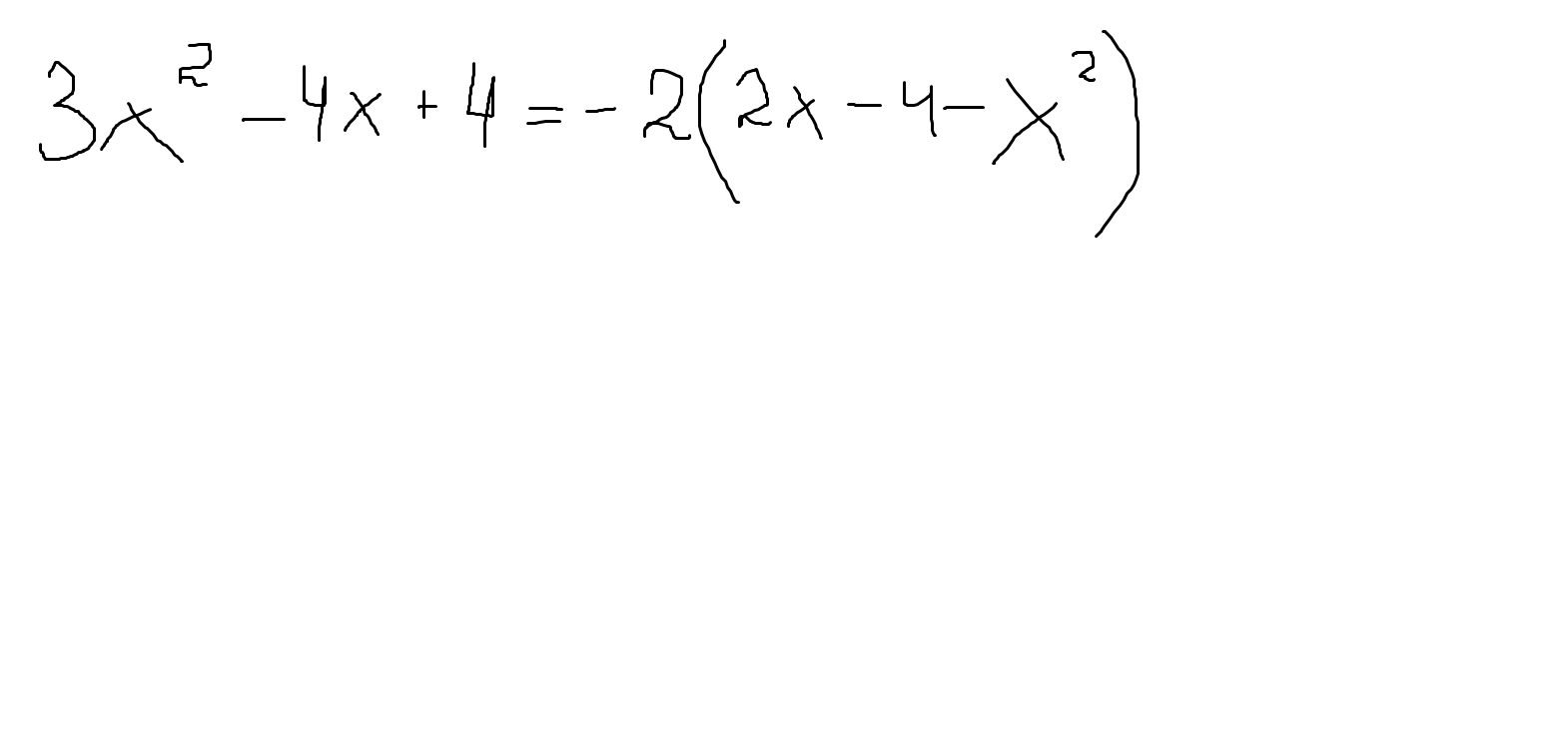
помогите решить уравнение

Приложения:

Ответы

Ответ дал: Ната23
0

3х² - 4х +4 = -4х +8 +2х²

3х² - 4х + 4х - 2х² = 8- 4

х² = 4

Ответ дал: Ellenochka
0

3х² - 4х +4 = -4х +8 +2х²

3х² - 4х + 4х - 2х² = 8- 4

х² = 4

х = 2 или х = - 2

Вас заинтересует