• Предмет: Алгебра
  • Автор: KotAdolf
  • Вопрос задан 11 лет назад

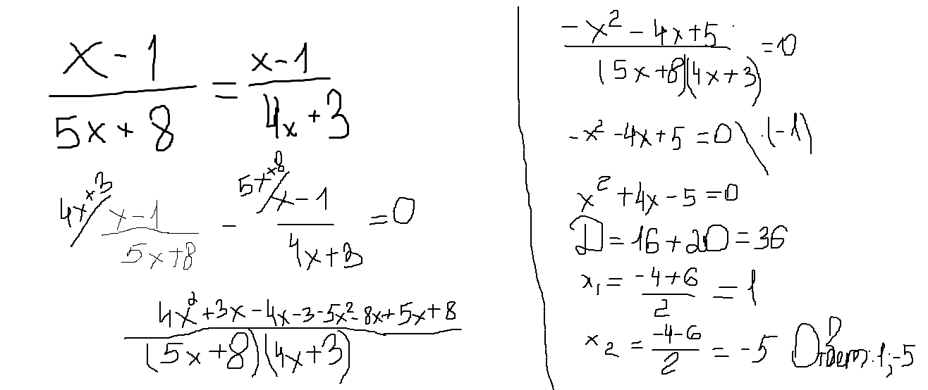
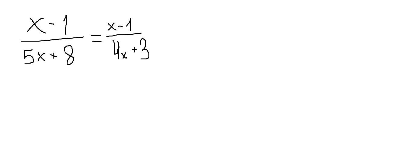
Помогите решить уровнение. уровнение внутри

Приложения:

Ответы

Ответ дал: linkas
0

Пропорция : (х-1) * (4х+3) = (х-1) * (5х+8)

4х^2 + 3x - 4x - 3 = 5x^2 + 8x - 5x - 8

4x^2 - x - 3 = 5x^2 + 3x - 8

-x^2 - 4x + 5 = 0

x^2 + 4x - 5 = 0 

D = 16 + 20 = 36

x1 = -4+6 ___ 2 = 1

x2 = -4-6 __ 2 = -5

Ответ дал: LizaOst
0

смотри во вложении!    

Я там тебе решение нарисовала.

 

 

Приложения:
Вас заинтересует