Ответы
Ответ дал:
0
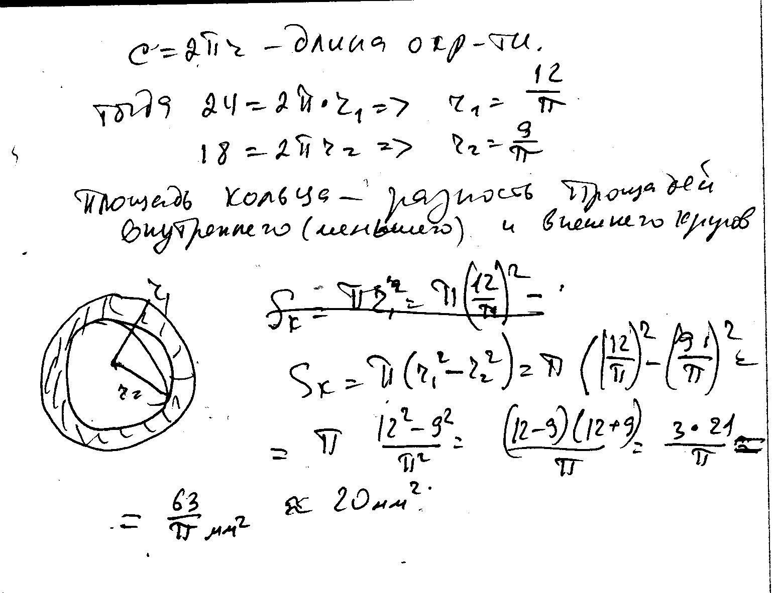
Найдите площадь кольца, если длины его окружностей равны 24 мм и 18 мм.
Приложения:

Вас заинтересует
2 года назад
7 лет назад
7 лет назад
10 лет назад
10 лет назад
10 лет назад
10 лет назад