• Предмет: Алгебра
  • Автор: ZayacZnaniy
  • Вопрос задан 10 лет назад

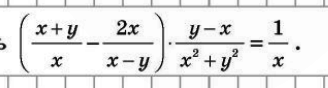
Довести тождество, помогите, умоляююю!!!

Приложения:

Ответы

Ответ дал: Artem112
0
( frac{x+y}{x} - frac{2x}{x-y} )cdot frac{y-x}{x^2+y^2} = frac{(x+y)(x-y)-2xcdot x}{x(x-y)} cdot frac{y-x}{x^2+y^2} =
 frac{x^2-y^2-2x^2}{x(x-y)} cdot frac{y-x}{x^2+y^2} =
\
= frac{-x^2-y^2}{x(x-y)} cdot frac{y-x}{x^2+y^2} =
frac{-(x^2+y^2)}{x(x-y)} cdot frac{-(x-y)}{x^2+y^2} =
frac{(x^2+y^2)(x-y)}{x(x-y)(x^2+y^2)}=frac{1}{x}
Ответ дал: ZayacZnaniy
0
СПАСИИИБО!
Вас заинтересует