• Предмет: Алгебра
  • Автор: denisdavydov
  • Вопрос задан 10 лет назад

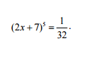
Найдите корень уравнения

Приложения:

Ответы

Ответ дал: maurer22
0
2х + 7 = 5^√(1/32)
2х + 7 = 1/2
2х = 1/2 - 7
2х = -6,5
х = -3,25
Вас заинтересует