• Предмет: Алгебра
  • Автор: Ekaterina1564
  • Вопрос задан 10 лет назад

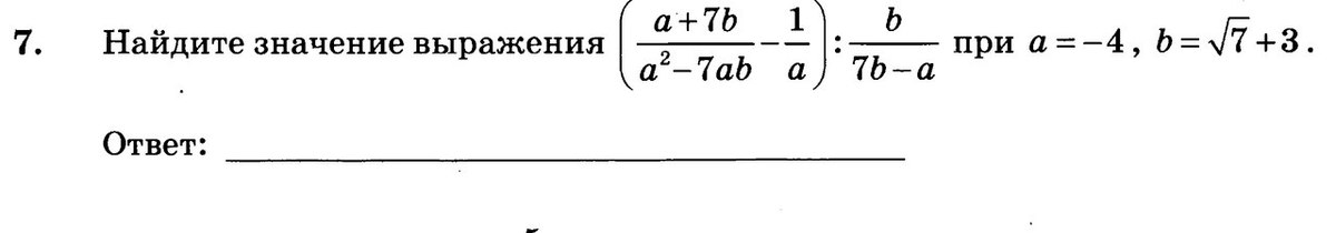
РЕШИТЕ ПОЖАЛУЙСТА,СРОЧНО!!!!!

Приложения:

Ответы

Ответ дал: Iccee
0
Вот,смотри решение на фото,сорян за качество

Приложения:
Ответ дал: Ekaterina1564
0
сПАСИБО БОЛЬШОЕ.
Вас заинтересует