• Предмет: Алгебра
  • Автор: vladasd
  • Вопрос задан 11 лет назад

////////////////////////////////

Приложения:

Ответы

Ответ дал: Katyuha85
0

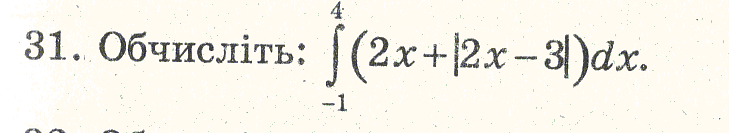
 = x^2 |₋₁⁴ + (2x-3)|2x-3|/4 |₋₁⁴ = (16-1) + ((8-3)|8-3|/4 - (-2-3)|-2-3|/4) = 15 + (5*5/4 + 5*5/4)=15+ 25/2 = 15+12,5 = 27,5

Ответ дал: dtnth
0

intlimits^4_{-1} {(2x+|2x-3|)} , dx =\ intlimits^4_{-1} {2x} , dx+intlimits^4_{-1} {|2x-3|} , dx =\ x^2|^4_{-1} +intlimits^{1.5}_{-1} {|2x-3|} , dx+intlimits^{4}_{1.5} {|2x-3|} , dx =\ 4^2-(-1)^2 +intlimits^{1.5}_{-1} {(3-2x)} , dx+intlimits^{4}_{1.5} {(2x-3)} , dx =\ 16-1-frac{1}{2}intlimits^{1.5}_{-1} {(3-2x)} , d(3-2x)+frac{1}{2}intlimits^{4}_{1.5} {(2x-3)} , d(2x-3) =\

15-frac{1}{2}*frac{(3-2x)^2}{2}|^{1.5}_{-1}\+frac{1}{2}*frac{(2x-3)^2}{2}|^{4}_{1.5}=\ 15-frac{1}{2}*frac{(3-2*1.5)^2}{2}\+frac{1}{2}*frac{(3-2*(-1))^2}{2}+frac{1}{2}*frac{(2*4-3)^2}{2}-frac{1}{2}*frac{(2*1.5-3)^2}{2}=\ 15-0+frac{25}{4}+frac{25}{4}-0=\ 15+12.5=27.5

Вас заинтересует