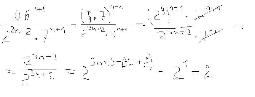
Сократите дробь: в числителе 56 в степени n+1, в знаменателе 2 в степени 3n+2 умножить на 7 в степени n+1
Ответы
Ответ дал:
0
если все правильно поняла, то так. см.вложение.
Приложения:
Вас заинтересует
3 года назад
8 лет назад
8 лет назад
11 лет назад
11 лет назад
11 лет назад
11 лет назад