• Предмет: Алгебра
  • Автор: 12344455
  • Вопрос задан 11 лет назад

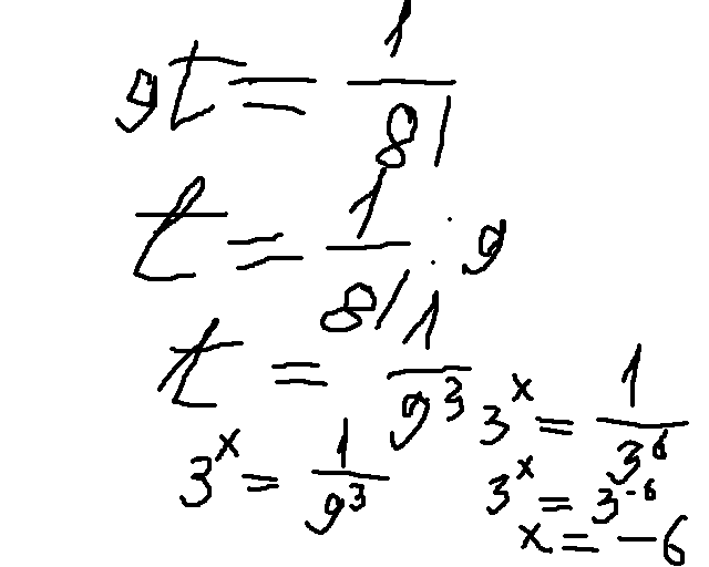
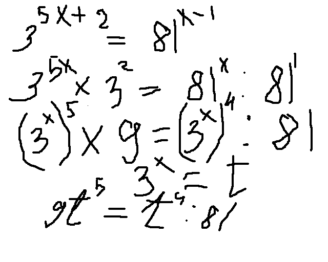
3 в степени 5x+2 = 81 в степени x-1

Ответы

Ответ дал: anonymys1
0

решение во вложении)))))))))))))))

Приложения:
Вас заинтересует