Ответы
Ответ дал:
0
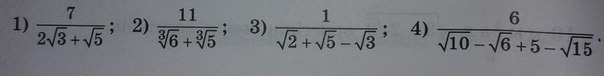
а) = 7(2кор 3 - кор5)/7 = 2кор3 - кор5
б) = 11(кор куб,36 - кор куб. 30 + кор куб 25 )/11 = кор куб 36 - кор куб 30 + кор куб 25
в) = кор2 + кор5 + кор3 / (кор2 + кор5)^2 - 3 =
= кор2 + кор 5 + кор 3/ 2+2кор10 +5 - 3 = кор2 + кор5 + кор3/ 4 +2 кор10 =
= (кор2+кор5+кор3)(2-кор10)/2(4-10) =(кор2+кор5+кор3)(кор10 - 2)/12
г) = 6/(кор10 +5) - (кор6 + кор15) = 6(кор10+кор6+кор15 + 5)/
(кор10 + 5)^2 - (кор6 + кор15)^2 =
= числитель тот же/10+25+ 10 кор10 -6 - 15 -3кор10
= числитель тот же/ 7(2 + кор10) =
= 6(кор10+кор6 + кор15 + 5)(2 - кор10)/ 7(4-10)
= (кор10 + кор6 + кор15 + 5)(кор10 - 2)/7
Пояснение: кор10 - корень квадратный из 10
кор куб 25 - корень кубический из 25
б) = 11(кор куб,36 - кор куб. 30 + кор куб 25 )/11 = кор куб 36 - кор куб 30 + кор куб 25
в) = кор2 + кор5 + кор3 / (кор2 + кор5)^2 - 3 =
= кор2 + кор 5 + кор 3/ 2+2кор10 +5 - 3 = кор2 + кор5 + кор3/ 4 +2 кор10 =
= (кор2+кор5+кор3)(2-кор10)/2(4-10) =(кор2+кор5+кор3)(кор10 - 2)/12
г) = 6/(кор10 +5) - (кор6 + кор15) = 6(кор10+кор6+кор15 + 5)/
(кор10 + 5)^2 - (кор6 + кор15)^2 =
= числитель тот же/10+25+ 10 кор10 -6 - 15 -3кор10
= числитель тот же/ 7(2 + кор10) =
= 6(кор10+кор6 + кор15 + 5)(2 - кор10)/ 7(4-10)
= (кор10 + кор6 + кор15 + 5)(кор10 - 2)/7
Пояснение: кор10 - корень квадратный из 10
кор куб 25 - корень кубический из 25
Вас заинтересует
3 года назад
3 года назад
8 лет назад
8 лет назад
10 лет назад
11 лет назад