Ответы
Ответ дал:
0
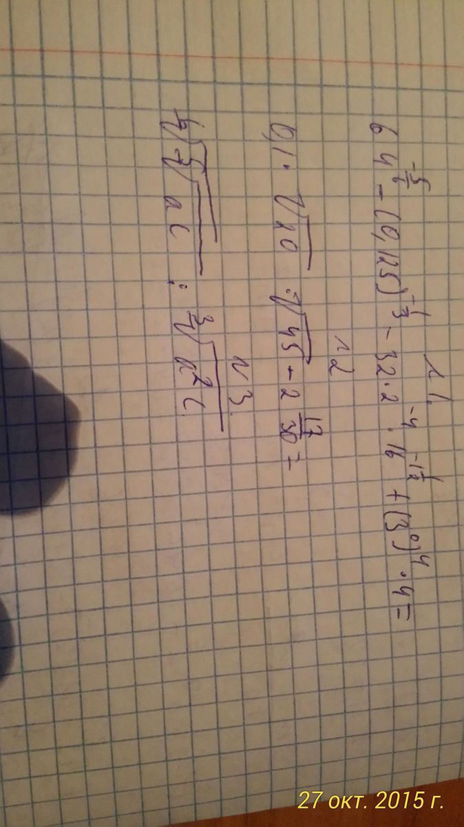
64^(-5/6) - (0,125)^(-1/3) - 32×2⁻⁴×16^(-3/2) + (3⁰)⁴×4 =
= (1/⁶√2³⁰) - (1/³√0,125) - 2⁵×2⁻⁴×(1/√16³) + 1×4 =
= 1/2⁵ - 1/0,5 - 2/4³ + 4 =1/32 - 2 - 1/32 + 4 = 2
0,1 × √20 × √45 - 77/30 = 0,1 × √900 - 77/30 =
= 3 - 77/30 = 13/30
⁶√ ⁵√(ac) / ³√(a²c) = (ac)^(1/30) / (a²⁰c¹⁰)^(1/30) =
= a^(1/30 -20/30) × c^(1/30 - 10/30) =
= a^(-19/30) × с^(-3/10)
= (1/⁶√2³⁰) - (1/³√0,125) - 2⁵×2⁻⁴×(1/√16³) + 1×4 =
= 1/2⁵ - 1/0,5 - 2/4³ + 4 =1/32 - 2 - 1/32 + 4 = 2
0,1 × √20 × √45 - 77/30 = 0,1 × √900 - 77/30 =
= 3 - 77/30 = 13/30
⁶√ ⁵√(ac) / ³√(a²c) = (ac)^(1/30) / (a²⁰c¹⁰)^(1/30) =
= a^(1/30 -20/30) × c^(1/30 - 10/30) =
= a^(-19/30) × с^(-3/10)
Ответ дал:
0
не верной ответ
Ответ дал:
0
в третьем? - какой должен быть?
Ответ дал:
0
нога
Ответ дал:
0
рука
Ответ дал:
0
Условие?..))
Вас заинтересует
3 года назад
3 года назад
10 лет назад
10 лет назад
11 лет назад