• Предмет: Алгебра
  • Автор: MrsSelin
  • Вопрос задан 11 лет назад

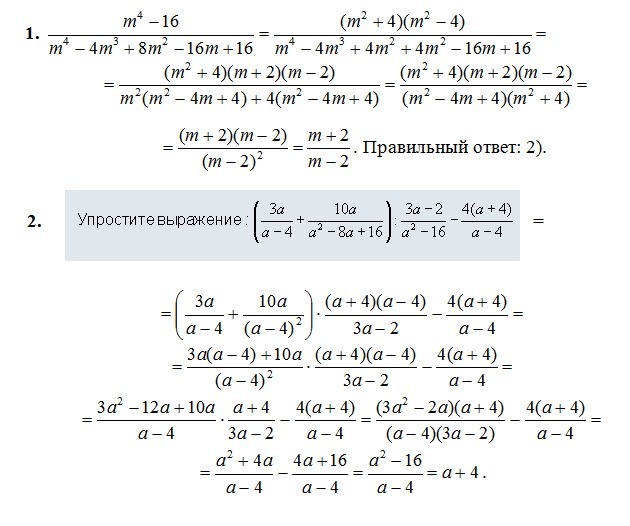
1. сократите дробь:
 
(m^4-16)/m^4-4m^3+8m^2-16m+16

варианты ответов:
1)(m-3)(m+2)^-1
2)(m+2)(m-2)^-1
3)(m-2)(m+2)^-1
4)(m-2)(m-3)^-1
5) (m+2)(m-3)^-1

2. см. вложение
 

Приложения:

Ответы

Ответ дал: SergFlint
0
Решения в приложении.
Приложения:
Вас заинтересует