Ответы
решение в файле))))))))))))))))))


7.2 / 2.4 = 0.9 / х
х = 2.4 * 0.9 / 7.2
х = 0.3
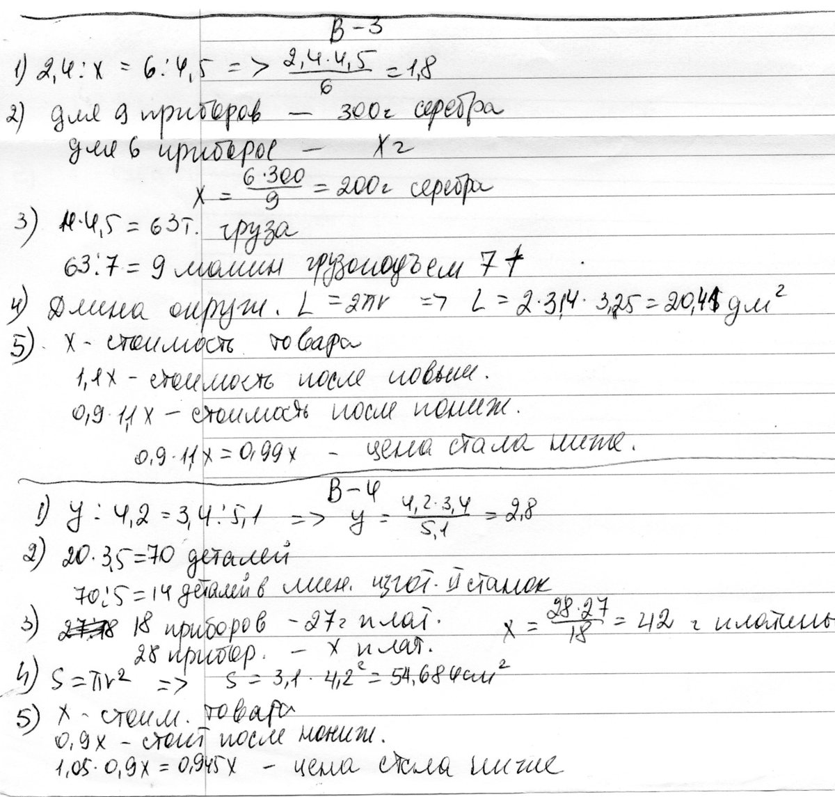
2.4 / х = 6 / 4.5
х = 2.4 * 4.5 / 6
х = 1.8
х / 4.2 = 3.4 / 5.1
х = 4.2 * 3.4 / 5.1
х = 2.8
2 задания 3.4.5 вариантов
1) 15 * 3.6 / 12 = 4.5 мин
2) 300г - 9пр
хг - 6пр
прямая пропорциональная
300 * 6 = х * 9
х = 300 * 6 / 9
х = 200грамм
3) 3.5 мин- 20 деталмин
5 мин - х детмин
обратная пропорционыльная
5 * х = 3.5 * 20
х = 3.5 * 20 / 5
х = 14 дет/мин
3 задание 3.4.5 вариантов
12кг - 32т
9кг - х т
прямая пропорцилнальная
х = 9 * 32 / 12
х = 24т
14м - 4.5т
х м - 7т
обратная
х =14 * 4.5 / 7
х =9
18 пр - 27г
28 пр - х г
прямая
х = 28*27/18
х=42
4) задание 3.4.5 вариантов
S = 3.1 * (2.3 * 2.3) = 3.1 * 5.29 = 16.399
S = 3.14 * (3.25 * 3.25) =10.5625 * 3.14 = 33.16625
S = 3.1 * (4.2 * 4.2) = 17.64 * 3.1 = 54.684
5) задание 3.4.5 вариантов
товар стал дешевле
товар стал дешевле
товар стал дешевле
объяснять решения не говорилось

