• Предмет: Алгебра
  • Автор: Endi8
  • Вопрос задан 10 лет назад

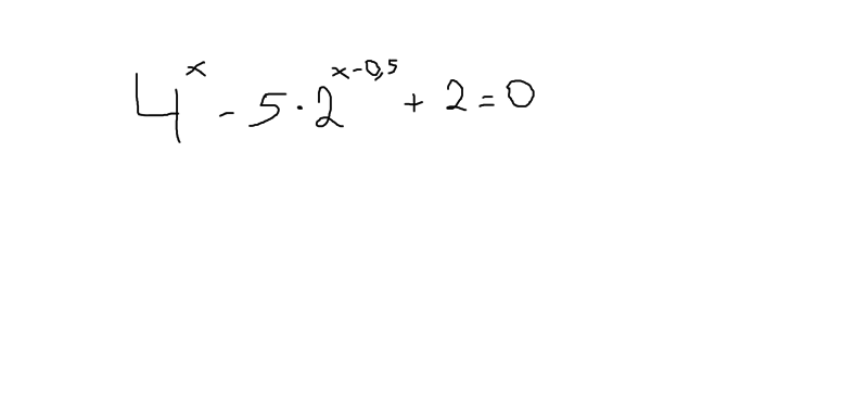
Показательные уравнения. Помогите решить срочно!Определите количество корней уравнения

Приложения:

Ответы

Ответ дал: marina334
0
х корней ................

Вас заинтересует