• Предмет: Математика
  • Автор: zhurovalyuda
  • Вопрос задан 10 лет назад

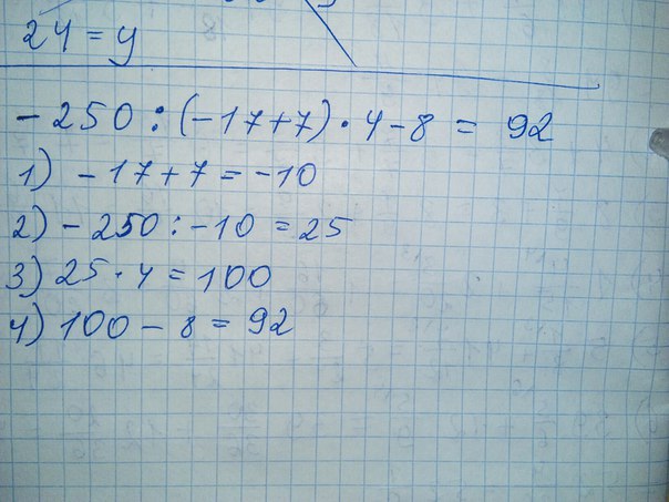
найти значение выражения -250/(-17+7)*4-8

Ответы

Ответ дал: sabrina24
0
Если непонятно
То спроси
Приложения:
Вас заинтересует