• Предмет: Алгебра
  • Автор: Diana65Q69
  • Вопрос задан 10 лет назад

Помогите решить,пожалуйста

Приложения:

Ответы

Ответ дал: onecoach
0
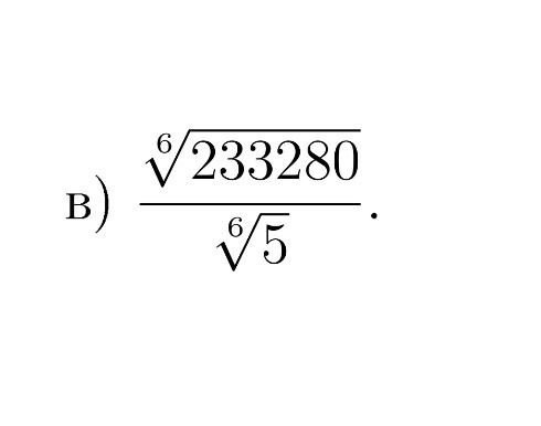
вроде как бы так
233280/5=46656
Вас заинтересует