• Предмет: Алгебра
  • Автор: Animeshnikq
  • Вопрос задан 10 лет назад

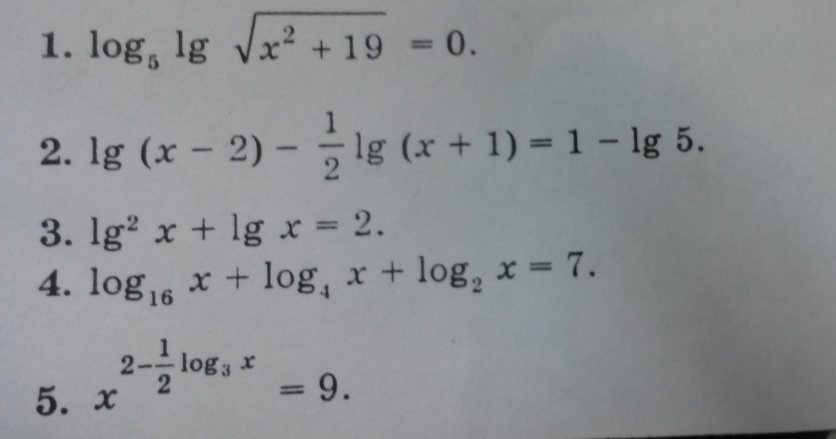
Помогите решить уравнение под номером 5 ) ОООООООООООчень срочно!!!!!

Приложения:

Ответы

Ответ дал: nikolac
0
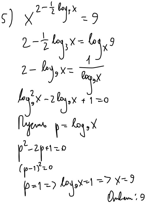
Решение на картинке.
Приложения:
Вас заинтересует