помогите решить задачу по физике 8 класс
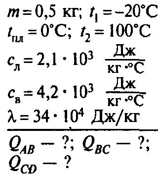
Рассчитайте расход энергии на процессы, соответствующие участки АB, BC, CD графика, приняв массу льда равной 0,5 кг
Ответы
Ответ дал:
0
— нагревание льда от -20°С до температуры плавления;
— плавление льда при tпл
— нагревание воды от до 100°С;
— плавление льда при tпл
— нагревание воды от до 100°С;
Приложения:
Ответ дал:
0
Спасибо огромное
Вас заинтересует
3 года назад
8 лет назад
8 лет назад
10 лет назад
10 лет назад
11 лет назад