Ответы
Ответ дал:
0
надеюсь будет понятно....
Приложения:

Ответ дал:
0
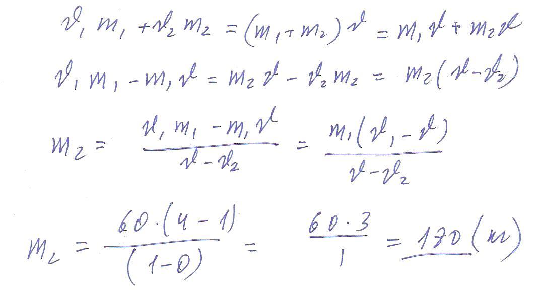
решать правильно начал т.к. U2 = 0 то U2m2 = 0
значит получаем уравнение U1m1 = U(m1+m2) раскрываем скобки U1m1 = Um1+Um2
выражаем отсюда m2 = (U1m1-Um1)/U = (4*60-1*60)/1 = 180кг
Приложения:

Вас заинтересует
2 года назад
8 лет назад
10 лет назад
10 лет назад