• Предмет: Алгебра
  • Автор: LilSnow14SS88
  • Вопрос задан 11 лет назад

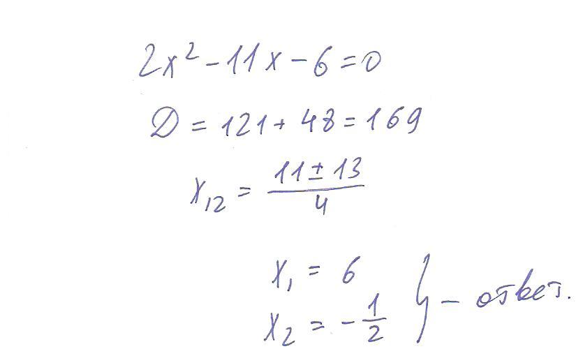
найдите корни уравнения 2x^2-11x-6=0

Ответы

Ответ дал: Artem112
0

надеюсь будет понятно...

Приложения:
Ответ дал: ждлорп
0

Через дискриминант:

D=b^2-4ac

D=121+48=169

x=11+134=6

x=11-13/4=-12

Приложения:
Вас заинтересует