• Предмет: Алгебра
  • Автор: afeaf
  • Вопрос задан 10 лет назад

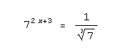
7^2x+3 = 1/∛7 распишите подробно как решается

Приложения:

Ответы

Ответ дал: Аноним
0
7 ^{2x+3} =7 ^{-1/3}
2x+3=-1/3
2x=-3 1/3
x=-10/3:2
x=-5/3
x=-1 2/3
Ответ дал: shga85
0
7^(2x+3)=7^(-1/3)
2x+3=-1/3
2x=-1/3-3
2x=-10/3
х=-10/3:2
х=-5/3
х=-1целая 2/3
Вас заинтересует