помогите пожааалуйста!
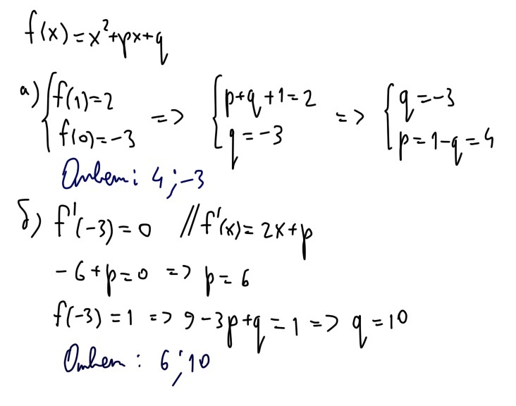
функция задана формулой у=х2+рх+q,найдите p и q,если
а)график функции проходит через точки (1;2) и (0;-3)
б)наименьшее значение равно 1,функция принимает при х=-3
Ответы
Ответ дал:
0
Решение на картинке.
Приложения:

Вас заинтересует
2 года назад
2 года назад
7 лет назад
7 лет назад
10 лет назад
10 лет назад
10 лет назад