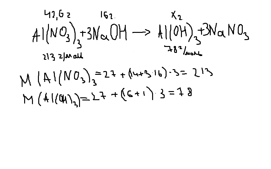
К раствору, в котором находится нитрат алюминия массой 42,6 г, прилили раствор, содержащий 16 г гидроксида натрия. рАССЧИТАЙТЕ МАССУ ОБРАЗОВАВШЕГОСЯ ОСАДКА ( ответ масса осадка равна 15.6г)
Ответы
Ответ дал:
0
m(Al(OH)3=42,6*78/213=15,6г
Приложения:

Вас заинтересует
2 года назад
8 лет назад
8 лет назад
10 лет назад
10 лет назад
10 лет назад