Помогите!!!!
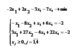
Решить графическим методом задачу с n переменными.

Приложения:

Ответы

Ответ дал: nurbek1798
0
просто так  ой прашу не 
Вас заинтересует