Ответы
Ответ дал:
0
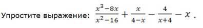
(x³-8x)/(x²-16)+x/(4-x)-4/(x+4)-x=
=(x³-8x)/(x²-16)-x/(x-4)-4/(x+4)-x=
=(x³-8x-x(x+4)-4(x-4)-x(x²-16))/(x²-16)=
=(x³-8x-x²-4x-4x+16-x³+16x)/(x²-16)=
=(16-x²)/(x²-16)=-1.
=(x³-8x)/(x²-16)-x/(x-4)-4/(x+4)-x=
=(x³-8x-x(x+4)-4(x-4)-x(x²-16))/(x²-16)=
=(x³-8x-x²-4x-4x+16-x³+16x)/(x²-16)=
=(16-x²)/(x²-16)=-1.
Вас заинтересует
3 года назад
3 года назад
8 лет назад
8 лет назад
10 лет назад
11 лет назад