• Предмет: Алгебра
  • Автор: шафуля
  • Вопрос задан 10 лет назад

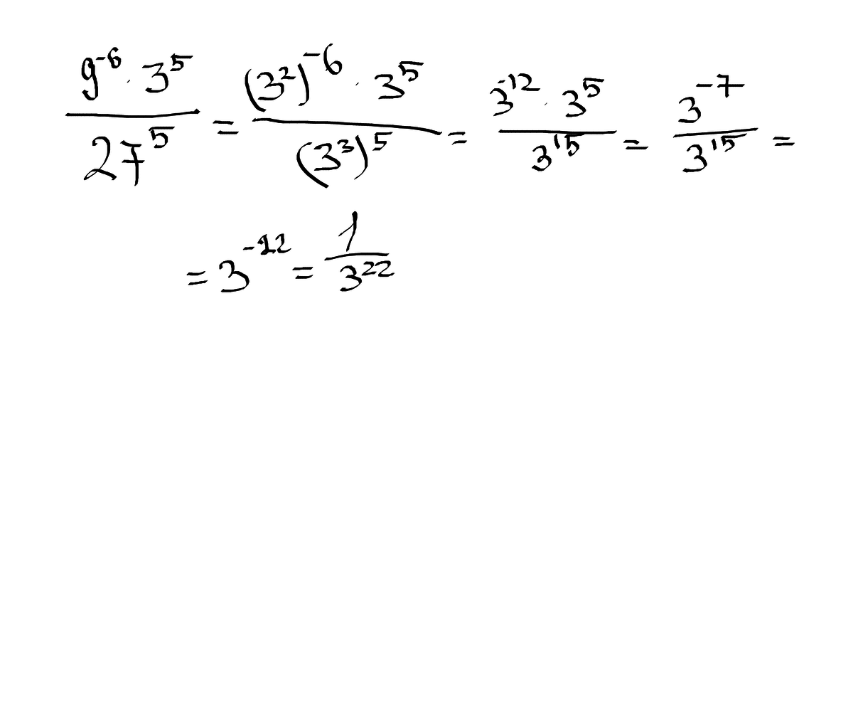
9^-6 ×3^5 /27 ^5решите паж

Ответы

Ответ дал: oOlDarknesslOo
0
На всякий случай, ставь скобки, ибо я не знаю какое действие ты хочешь сделать. Ну и еще. Возводи зам 3 в 22 степень))
Приложения:
Вас заинтересует