Ответы
Ответ дал:
0
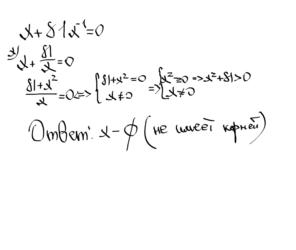
Оно все ровно не имеет корней, так как 81+x^2 не равно 0
Приложения:

Ответ дал:
0
81x^1?
Ответ дал:
0
-1* Извиняюсь
Ответ дал:
0
x+81x^-1=0
Ответ дал:
0
так?
Ответ дал:
0
да
Вас заинтересует
2 года назад
2 года назад
7 лет назад
10 лет назад
10 лет назад
10 лет назад
10 лет назад