• Предмет: Алгебра
  • Автор: Цгноп
  • Вопрос задан 11 лет назад

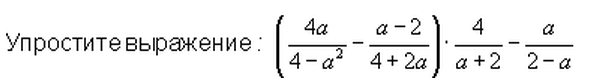
(4a/4-a^2 - a-2/4+2a) * 4/a+2 - a/2-a упростить выражение

Приложения:

Ответы

Ответ дал: Mydrый
0

Смотри вложение *************************************

Приложения:
Вас заинтересует
11 лет назад