• Предмет: Алгебра
  • Автор: 4321abc
  • Вопрос задан 10 лет назад

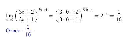
lim x стремится к 0 ( 3x+2/3x+1)в степени 6x-4

Ответы

Ответ дал: SkyBy
0
Смотрите решение в прикреплённом файле.
Приложения:
Ответ дал: 4321abc
0
большое спасибо Вам.
Вас заинтересует