• Предмет: Алгебра
  • Автор: Цгноп
  • Вопрос задан 11 лет назад

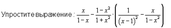
упростите выражение x/1-x - 1-x^2/1+x^2 * (1/(x-1)^2 - x/1-x^2)

Приложения:

Ответы

Ответ дал: happysmile06
0

Вам нужно решение, или только ответ?

P.S. ответ: -1

Вас заинтересует