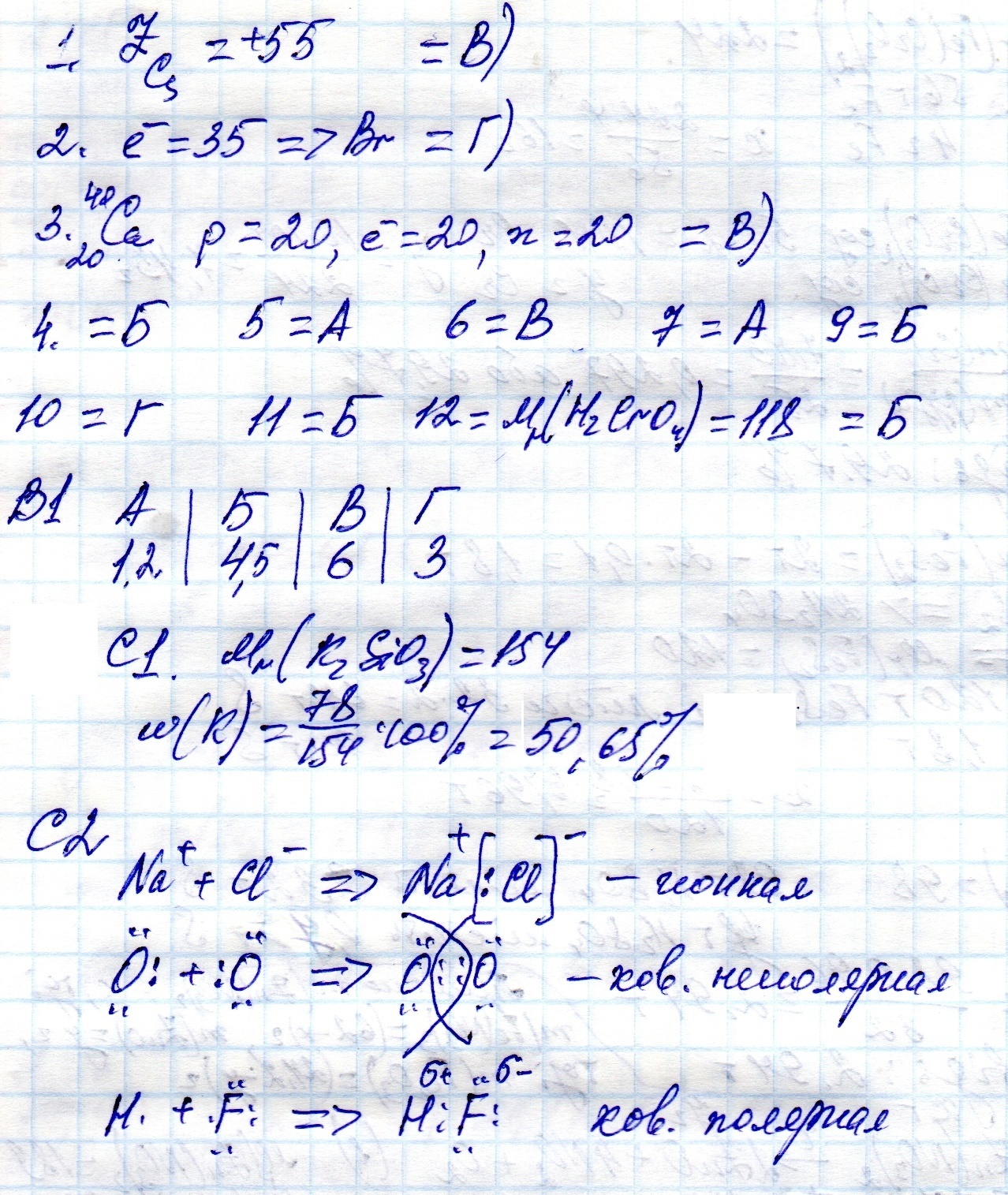
А1. Каков заряд ядра атома цезия?
А) -55 Б) +35 В) +55 Г) +30
А2. Определите элемент, если в его атоме 35 электронов
А) титан Б) хром В) марганец Г) бром
А3. Чему равняется количество протонов, нейтронов и электронов в атоме кальция?
А) р=20, n=40, е=20 Б) р=40, n=20, е=40 В) р=20, n=20, е=20 Г) р=40, n=40, е=40
А4. Каков физический смысл порядкового номера элемента
А) это число нейтронов в ядре Б) это число протонов в ядре атома
В) это число энергетических уровней в атоме Г) это относительная атомная масса
А5. Каков физический смысл номера периода таблицы Д. И. Менделеева?
А) это заряд ядра атома Б) это число электронов на внешнем энергетическом уровне
В) это число электронов в атоме Г) это число энергетических уровней в атоме
А6. Чему равно общее число электронов атома
А) номеру группы Б) номеру периода
В) порядковому номеру Г) числу нейтронов в ядре
А7. Укажите количество электронов на внешнем энергетическом уровне в атоме бериллия
А) 2 Б) 5 В) 7 Г) 17
А8. Укажите пару химических элементов, между которыми может возникнуть ионная связь
А) водород и кислород Б) фтор и углерод В) хлор и хлор Г) натрий и хлор
А9. Укажите формулу соединения с ковалентной неполярной связью
А) CF4 Б) H2 В) KBr Г) P2O5
А10. Атому, какого химического элемента соответствует электронная формула 1S22S22P3
А) литий Б) натрий В) калий Г) азот
А11. В ядре атома, какого химического элемента 7 протонов и 7 нейтронов
А) фтор Б) азот В) фосфор Г) кислород
А12. Какова относительная молекулярная масса вещества с химической формулой H2CrO4
А) 142 Б) 118 В) 150 Г) 124
В1. Установите соответствие между типом химической связи и формулой соединения
А) Ковалентная неполярная
Б) Ионная
В) Ковалентная полярная
Г) Металлическая
Химическое соединение
1) O2 2) Br2
Вид химической связи
3) Zn 4) MgCl2
5) CaO 6) HCl
С1. Найдите массовую долю калия в составе молекулы K2SiO3
С2. Определите тип химической связи и составьте схему образования связи у
следующих веществ:
а) NaCl б) O2 в) HF BarbaRick
Ответы
Ответ дал:
0
............................................................................................................................
Приложения:

Вас заинтересует
2 года назад
2 года назад
7 лет назад
7 лет назад
10 лет назад
10 лет назад