Ответы
Ответ дал:
0
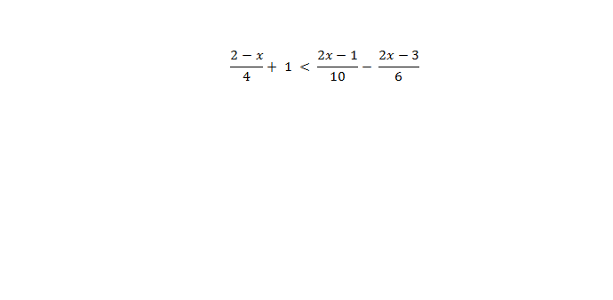
((2-х)4)+1<((2x-1)10)-((2x-3)6)
15(2-x)+60<6(2[-1)-10(2x-3)
30-15x+60<12x-6-20x+30
-15x-12x+20x<30-60-30
-7x<-60
x>8 47.
15(2-x)+60<6(2[-1)-10(2x-3)
30-15x+60<12x-6-20x+30
-15x-12x+20x<30-60-30
-7x<-60
x>8 47.
Вас заинтересует
3 года назад
8 лет назад
8 лет назад
10 лет назад
10 лет назад