• Предмет: Алгебра
  • Автор: CDolphin
  • Вопрос задан 10 лет назад

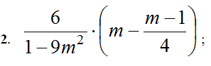
Упростите выражение.

Приложения:

Ответы

Ответ дал: OwlFromHogwarts
0
6/1-9m² · (m-m-1/4) =
Приложения:
Вас заинтересует