• Предмет: Математика
  • Автор: ElenfZodiak
  • Вопрос задан 10 лет назад

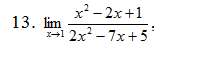
Помогите пожалуйста с пределом.
С решением.

Приложения:

Ответы

Ответ дал: VovchikSAGAN
0
 lim_{x to 1}  frac{x ^{2}-2x+1 }{2 x^{2}-7x+5 }  = frac{0}{0}
Разложим числитель и знаменатель на множители
x²-2x+1=0
D=4-4=0
x=1
x²-2x+1=(x-1)(x-1)=(x-1)²
2x²-7x+5=0
D=49-40=9
x₁= frac{7+3}{4}= frac{5}{2}
x₂= frac{7-3}{4}=1
2x²-7x+5=2*(x- frac{5}{2})*(x-1)=(2x-5)(x-1)
 lim_{x to 1} frac{(x-1)^{2} }{(2x-5)(x-1)}= frac{x-1}{2x-5}= frac{1-1}{2-5}= frac{0}{-3}=0
Вас заинтересует