Ответы
Ответ дал:
0
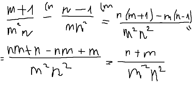
2) решение в приложении
3) решение в приложениии
уж чем смогла, простите
3) решение в приложениии
уж чем смогла, простите
Приложения:


Вас заинтересует
2 года назад
2 года назад
7 лет назад
7 лет назад
10 лет назад
10 лет назад