Ответы
Ответ дал:
0
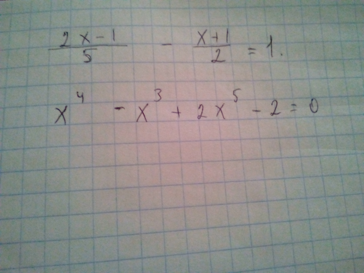
Во втором возможно два корня. Нашел только один.
Приложения:

Ответ дал:
0
я думаю , что второй мб - x=17
Ответ дал:
0
точно не 17
Ответ дал:
0
Всё-таки похоже 1 корень.
Ответ дал:
0
хорошо , спасибо
Ответ дал:
0
)))
Вас заинтересует
2 года назад
2 года назад
7 лет назад
7 лет назад
10 лет назад
10 лет назад
10 лет назад